"Zece la Bacalaureat" - Biologie Vegetala si Animala | Sinteze si teste pentru pregatirea Examenului de Bacalaureat
Nr. pagini: 119 Disponibil: Da
Actualizat: 09.03.2026
89,00 RON
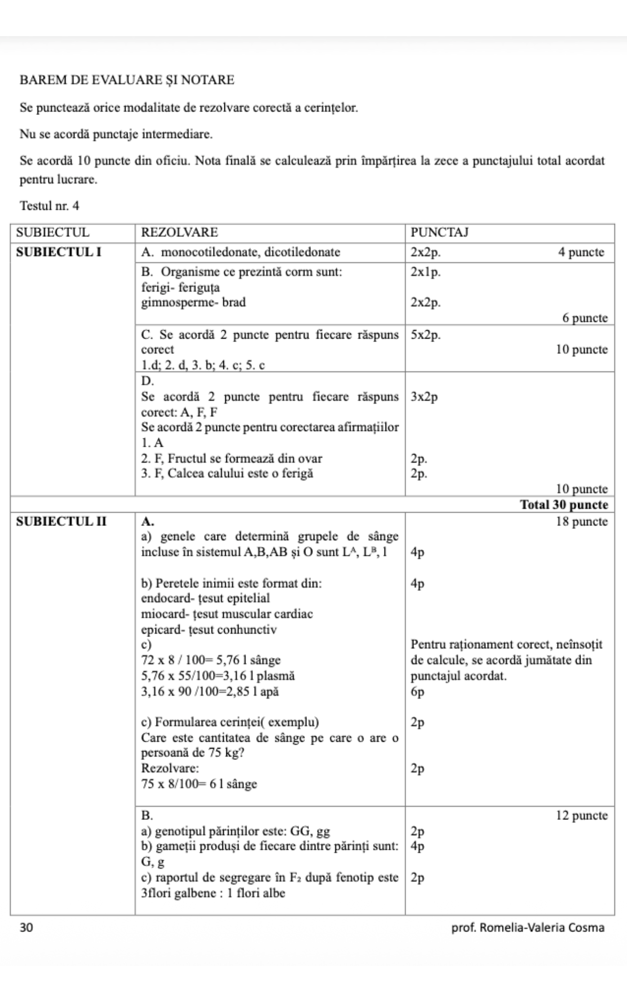
Sinteze și teste pentru pregătirea examenului de Bacalaureat – Biologie Vegetala si Animala este un ghid complet dedicat elevilor care se pregătesc pentru proba de Bacalaureat la biologie. Lucrarea îmbină claritatea explicațiilor teoretice cu aplicabilitatea practică, oferind sinteze structurate logic și teste recapitulative concepute după modelul subiectelor oficiale.
Prin modul organizat de prezentare a informațiilor, cartea facilitează învățarea rapidă, consolidarea cunoștințelor și autoevaluarea realistă a nivelului de pregătire. Este un instrument indispensabil pentru elevii care doresc să obțină rezultate de excepție la examenul de Bacalaureat.
Prin modul organizat de prezentare a informațiilor, cartea facilitează învățarea rapidă, consolidarea cunoștințelor și autoevaluarea realistă a nivelului de pregătire. Este un instrument indispensabil pentru elevii care doresc să obțină rezultate de excepție la examenul de Bacalaureat.
